Journal of Behavioral Data Science, 2025, 5 (2), 1–27.
DOI: https://doi.org/10.35566/jbds/orourke

A Guide to Specifying Effects in Latent Change Score Models with Moderated Mediation

Holly P. O’Rourke\(^{1}\)\(^{[0000-0002-2927-0333]}\) and Chanler D. Hilley\(^{2}\)\(^{[0000-0003-4766-9513]}\)
\(^{1}\) Department of Psychology, University of California at Riverside
holly.orourke@ucr.edu
\(^{2}\) Department of Psychological Science, Kennesaw State University
chilley2@kennesaw.edu
Abstract. Latent change score (LCS) models are discrete-time longitudinal models that concurrently investigate growth over time and dynamic (lagged) relations among variables. Bivariate LCS models can be extended to multivariate scenarios with mediators and moderators, and mediation paths can be constrained or freely estimated across time. We provide a decision-making guide for model specification based on variable scale of measurement and hypothesized change processes. We then simulate two examples to illustrate how LCS models can be specified to estimate moderated mediation effects where the indirect effect from mediation is conditional upon values of the time-invariant moderator. We provide simulated data and annotated Mplus and R lavaan code.

Keywords: Latent Change · Mediation · Moderation · Moderated Mediation · Conditional Indirect Effects

1 Introduction

Many applied researchers conduct longitudinal studies with repeated measurements over time in order to refine their substantive theories with hypotheses about change processes. There are numerous available methods for longitudinal data analysis, and choosing the correct method for one’s research question requires understanding the specific questions about change that a particular statistical model can answer. Methodological developments of latent change score (LCS) models (Cáncer & Estrada2023Grimm2007Grimm, An, McArdle, Zonderman, & Resnick2012McArdle2009McArdle & Grimm2010O’Rourke, Fine, Grimm, & MacKinnon2022Serang, Grimm, & Zhang2019Usami, Hayes, & McArdle2016) have led to a recent wider adoption of applications of LCS models. Whereas latent growth curve (LGC) models answer questions about static change (i.e., one characterization of change over the entire course of the study), LCS models (the focus of this paper) answer questions about dynamic change (i.e., lagged relations characterizing time-dependent changes over a study period) where future effects depend on past effects (Baltagi2021Hsiao2014).

Much of the research on (and most of the applications of) LCS models to date have focused either on univariate models of change or on bivariate models with dynamic relations among two repeatedly measured variables. These models can be extended beyond the bivariate to incorporate additional variables which allow researchers to expand their causal theories of change. Recent work has examined the inclusion of mediators into LCS models (Goldsmith et al.2018Hilley & O’Rourke2022Selig & Preacher2009Simone & Lockhart2019), and in particular has focused on how to parameterize these models with respect to the traditional mediation literature stemming from the general linear model (Baron & Kenny1986Judd & Kenny1981MacKinnon2008). Researchers have also undertaken efforts to examine group differences of change in LCS models via inclusion of moderators (Cáncer, Estrada, & Ferrer2023Estrada, Bunge, & Ferrer2023Könen & Karbach2021McArdle & Grimm2010McArdle & Prindle2008).

Moderator and mediator variables can be related in several ways; one commonly specified relation is moderated mediation, where the indirect effect from mediation is conditional upon values of a moderator. Moderated mediation is indexed via a conditional indirect effect (CIE) (Hayes20182022Preacher, Rucker, & Hayes2007). To date, no work has been undertaken on model specification and interpretation of results from LCS models with both moderators and mediators. This paper uses illustrative examples to provide a guide to specifying CIEs in LCS models with variables that change dynamically over time, tying together prior simpler LCS model specifications to examine models that contains LCSs, mediators, and moderators (LCSMM models). We begin by providing definitions of moderators and mediators with details relevant to the ultimate LCSMM model of interest as well as an introduction to the LCS model. Next, we discuss some of the technical and practical details that must be considered when introducing CIEs into the LCS framework. We demonstrate the proposed methods with two simulated examples, each of which illustrates a different research question and corresponding parameterization of the LCSMM model.

1.1 Moderators

In modern behavioral research, group differences in bivariate relations are often of interest. Such relations can be examined via a moderator (Z) also known as an interaction effect, where Z influences the relation from X to Y. Interaction effects investigate whether the strength of the X to Y relation differs across varying levels of Z. Moderators, like any other predictor of Y, can take on any scale of measurement (though this paper focuses only on the use of binary moderators). A binary moderator can be added to a simple bivariate linear regression as shown in the following equations.

\begin {equation} Y = i + d_1X + e \label {eq1} \end {equation} \begin {equation} Y = i + d_1X + d_2Z + d_3XZ + e \label {eq2} \end {equation}

Equation 1 illustrates a bivariate regression equation where a predictor X is related to an outcome Y by a regression estimate \(d_1\). In Equation 2, the moderator Z also predicts Y via a regression estimate \(d_2\). The interaction XZ, which is the product of the predictors X and Z, also predicts Y in the model by way of the estimate \(d_3\) (this estimate is the interaction effect). Re-arranging Equation 2 gives us an interaction term that can be used to predict how the relation of X to Y varies at values of Z, as shown in Equation 3:

\begin {equation} Y = i + d_2Z + (d_1X + d_3Z)X + e \label {eq3} \end {equation}

When Z is binary (e.g., coded 0 or 1), values of Z can be plugged in to Equation 3 to determine the effect of X on Y at different values of Z. For example, if Z = 0 the effect of X on Y would reduce to just \(d_1\). If Z = 1, the effect of X on Y would be \(d_1 + d_3\).

In research involving longitudinal change, moderators can be time-varying or time-invariant. A time-invariant moderator is a variable that does \(not\) change across time for individuals (e.g., random assignment to a treatment group), whereas a time-varying moderator is a Z variable that can vary across time for individuals (e.g., compliance with treatment protocol). Importantly, time invariance does not inherently imply that the effect of time-invariant Z on the X-Y relation cannot vary over the course of a study, only that values of the variable itself cannot vary over study duration.

1.2 Mediators

Mediators are another type of variable that can influence the relation of X to Y. In behavioral research, mediators represent theoretical mechanisms of change in terms of how X influences Y. Specifically, mediation analysis investigates whether the influence of X on Y is transmitted indirectly through an intervening variable (or mediator), M. Mediation makes the assumption that X temporally precedes M which in turn temporally precedes Y. For example, intervention researchers studying the effects of an intervention on a behavior may include a priori mediation theories about a mediator (or set of mediators) that the intervention (X) is designed to influence to ultimately lead to behavior change (Y); e.g., a smoking intervention (X) influences negative attitudes about smoking (M) which ultimately reduces smoking behaviors (Y). The equations below demonstrate the series of linear regression equations that capture these relations for a single mediator model (MacKinnon2008).

\begin {equation} Y = i_1 + bM + c'X + e_1 \label {eq4} \end {equation} \begin {equation} M = i_2 + aX + e_2 \label {eq5} \end {equation}

In mediation analysis, the \(a\) path represents the influence of X on M in a regression equation predicting M. The \(b\) path represents the influence of M on Y in a separate regression equation predicting Y. The \(c’\) path refers to the influence of X on Y while controlling for M, and is known as the direct effect. A single estimate of mediation can be quantified by taking the product of the \(a\) and \(b\) paths \(ab\), known as the indirect effect, which represents the extent to which X influences Y through M (Alwin & Hauser1975).

Several formal statistical tests have been developed to assess the presence of mediation. The joint significance test (MacKinnon, Lockwood, Hoffman, West, & Sheets2002) is an offshoot of the causal steps approach (Baron & Kenny1986), which simultaneously assesses the significance of the \(a\) and \(b\) estimates to determine whether mediation is present. The joint significance test has been found to have the best balance of power and Type I error relative to other causal steps tests of mediation (MacKinnon et al.2002). However, the joint significance test does not provide a test of significance for the overall estimate of the indirect effect, which is often preferred as it provides a single measure of mediation magnitude. The indirect effect \(ab\) can also be tested for significance by calculating a \(z\) test using a derived standard error (Sobel1982), or with asymmetric Monte Carlo bootstrapped confidence intervals of \(ab\) (MacKinnon, Fritz, Williams, & Lockwood2007MacKinnon, Lockwood, & Williams2004). As these methods of assessing significance for mediation can be utilized for the different parameterizations of \(a\) and \(b\) in the LCS framework, both the joint significance test and bootstrapped confidence intervals of \(ab\) are used to assess significance of mediation throughout this paper.

Causal Assumptions of Mediation

There are several assumptions about causality that are made in statistical mediation models, as causality is the defining feature that separates a mediation model from other models that are mathematically equivalent (for example, confounder models). The first assumption is temporal precedence, which is the assumption that X occurs temporally before M and M occurs temporally before Y within a given mediation model. Even if a mediation model contains only cross-sectional variables, temporal precedence assumes that at least a (very) small amount of time has elapsed between measurements of each subsequent variable in the mediational chain. This assumption is made in part to satisfy the second assumption described below.

Causal order is the second and related assumption, which relates to specification of the causal process among variables in a mediation model. Causal order assumes that the variables in the mediation model are ordered properly such that the causal process is correctly specified with X causing M, and M then causing Y. This second assumption clarifies the need for the first assumption; temporal precedence is a necessary but not sufficient requirement for establishing causality. Furthermore, an implication of this assumption is that there is no misspecification of causality. This encompasses a wide range of possible misspecifications such as no unmeasured confounders, no measurement error misspecification, and no backward causality (i.e., no reciprocal relations or reversed arrows in the mediation path model). In particular, handling the assumption of no unmeasured confounders often requires careful consideration of model specification and variable selection. When possible, the assumption of no unmeasured confounders is partially addressed by randomizing X (as in an intervention study), which addresses the assumption for the \(a\) path. However, this assumption of no unmeasured confounders typically cannot be not met for the \(b\) path, as M is characteristically a variable that cannot be randomized. The assumptions of causality can create unique challenges when adapting mediation models to frameworks beyond linear regression. These assumptions also have important implications for mediation models that specify CIEs, and each assumption has particularities to consider when conducting mediation analysis with longitudinal data (see the discussion section of this paper for a more in-depth treatment of these issues).

1.3 Conditional Indirect Effects

The condition under which mediation effects may differ for different groups (i.e., at different levels of a moderator) is sometimes referred to as “moderated mediation” (Hayes20152018Preacher et al.2007). When the mediation \(a\) or \(b\) path is moderated such that the indirect effect is 1) not consistent across all individuals in a study and 2) systematically differs across subgroups in a sample, CIEs can be estimated to quantify the differences in mediation effects. Moderators can produce several different types of variations in the relations in a mediation model. A moderator Z can influence the \(a\) path such that the estimate of \(a\) (the effect of X on M) differs across levels of Z, which is referred to as first stage moderated mediation (Hayes2018). Alternatively, the moderator Z could influence the \(b\) path such that the estimate of \(b\) (the effect of M on Y) differs across levels of Z, a condition referred to as second stage moderated mediation (Hayes2018). First stage moderated mediation, which is the interaction relation utilized in our examples, is estimated in a linear regression framework with the following equations.

\begin {equation} Y = i_1 + bM + c'X + e_1 \label {eq6} \end {equation} \begin {equation} M = i_2 + a_XX + a_ZZ + a_{XZ}XZ + e_2 \label {eq7} \end {equation}

Using this framework and building on the moderation equations above, CIEs can be calculated to provide group-specific indirect effects for a binary moderator Z. These group-specific CIEs are calculated using both the traditional mediation \(a\) path (denoted here as \(a_X\)) and the interaction term that quantifies the magnitude of variation in the relation of X to M at different values of Z (denoted here as \(a_{XZ}\)), along with the \(b\) path from the equation predicting Y. The CIEs are calculated as follows:

\begin {equation} (a_X + a_{XZ}Z)b = a_Xb + a_{XZ}bZ \label {eq8} \end {equation}

For binary Z, values of Z can be entered into Equation 8 to calculate multiple CIEs that demonstrate group differences. For example, when Z = 0 the CIE would reduce to just \(a_Xb\) as in traditional mediation. When Z = 1, the CIE would be \(a_Xb+a_{XZ}b\).

In moderated mediation models, it is important to distinguish between auxiliary variables (i.e., Z) that moderate one or more of the mediation paths compared with interactions of the variables involved in the mediation processes; the distinction between the two is non-trivial. This paper focuses on cases where an auxiliary variable Z moderates the mediation \(a\) path. Traditional approaches to mediation have established the assumption that there is no XM interaction present, but it is possible that researchers could be interested in empirically testing whether X and M interact in their influence on Y (Valeri & VanderWeele2013).

The types of moderated mediation described above can be extended beyond linear regression to models with latent variables (Cheung, Cooper-Thomas, Lau, & Wang2021Sardeshmukh & Vandenberg2017) or longitudinal models using a structural equation modeling (SEM) framework (Zhu, Sagherian, Wang, Nahm, & Friedmann2021). Much of the work in this space has focused on interactions among latent variables or moderators of static change (i.e., growth). In order to examine moderators of dynamic change over time in conjunction with mediation hypotheses, we now present details of the LCS framework.

1.4 LCS Models

LCS models are discrete-time longitudinal models that allow for investigation of both intraindividual change over two or more measurement occasions as well as interindividual differences in such change (Hamagami & McArdle2001McArdle2001). LCS models capture measures of both static and dynamic (i.e., lagged) change over time. These models are fit using a SEM framework and are illustrated throughout the paper with path diagrams that utilize SEM path model notation.

The LCS framework was initially developed to overcome measurement error issues inherent in analyses with change scores of observed variables (Cronbach & Furby1970Raykov1999). Using LCSs requires addressing the possibility of measurement error in a manner consistent with classical test theory such that for an observed variable \(y\), the observed score for individual \(i\) at time \(t\) can be decomposed into a latent (true) score \(ly_{ti}\) and an error score \(e_{ti}\):

\begin {equation} y_{ti} = ly_{ti} + e_{ti} \label {eq9} \end {equation}

The LCS framework defines latent scores as having fixed-unit autoregressive relations within a given variable over time, expressed as follows (Hamagami & McArdle2001McArdle2001):

\begin {equation} ly_{ti} = ly_{t-1i} + \Delta ly_{ti} \label {eq10} \end {equation}

where a latent score for \(y\) at a given timepoint (\(ly_{ti}\)) is the sum of the latent score for \(y\) at the prior timepoint (\(ly_{t-1i}\)) and the change between latent scores for \(y\) from \(t-1\) to \(t\) (\(\Delta ly_{ti}\)). A univariate system of LCSs measuring change in a variable \(y\) over time includes two types of change, constant change and proportional change. Constant or static change where \(y_{a_i}\) is the additive (that is, constant) change component for an individual \(i\) is functionally equivalent to the slope in a LGC model with no self-effect (Serang et al.2019), and following notation from Cáncer, Estrada, Ollero, and Ferrer (2021) has a mean \(\mu _{y_{a}}\), variance \(\sigma ^2_{y_{a}}\), and covariance with the initial level \(\sigma _{y_{0},y_{a}}\) and is referred to as an additive component throughout this paper.

The additive component models interindividual rates of change while maintaining a constant rate of intraindividual change. Proportional change \(\beta _y\) relates prior latent level at \(t - 1\) to later latent change between \(t – 1\) and \(t\). In LCS models, proportional change allows prior latent levels to influence later latent change in a given variable. These change parameters can be combined into a single dual change model, which includes both additive and proportional change components.

\begin {equation} \Delta ly_{ti} = y_{ai} + \beta _y ly_{t-1i} \label {eq11} \end {equation}

Together, the additive and proportional change components describe an exponential trajectory in the dual change model. The dual change model described here is not the only possible specification of univariate models for latent change. One could include only the additive component, which would result in a static model equivalent to a LGC model that is defined in terms of latent change, or only the proportional change \(\beta _y\) as a model of self-effect. This univariate LCS system can also be extended to study longitudinal bivariate relations. The relation between two longitudinal variables in the LCS framework is most often measured using coupling, the influence of prior latent levels of one variable on later latent change in another. The interpretation of the coupling parameter \(\gamma _{yx}\) resembles the proportional change described earlier. However, coupling is a time-dependent effect that provides an estimate of the extent to which the preceding measurement’s level of one variable impacts the trajectory of change in another variable at a subsequent measurement occasion. Specifically, significant coupling from a variable \(x\) to a second variable \(y\) means that \(x\) is a leading indicator of scores on \(y\). We can introduce a coupling parameter into the dual change model such that \(x\) is a leading indicator of \(y\):

\begin {equation} \Delta ly_{ti} = y_{ai} + \beta _y ly_{t-1i} + \gamma _{yx}lx_{t-1i} \label {eq12} \end {equation}

We build on this bivariate equation by adding mediators and moderators in the coming sections.

1.5 Conditional Indirect Effects in LCS Models

To date, there has been no methodological treatment of first stage moderated mediation in LCS models. Much of the methodological literature on mediation in the LCS framework only examines latent change between two timepoints for any given variable (Goldsmith et al.2018Selig & Preacher2009Simone & Lockhart2019). More recent work has examined how to specify LCS models to include either cross-sectional or longitudinal mediators with more than two timepoints (Hilley & O’Rourke2022). With respect to research on moderators or group differences in change in the LCS framework, moderators have typically not been the primary focus of methodological investigations and examinations have been limited to moderators of univariate change (i.e., univariate cohort effects) (Cáncer et al.2023Estrada et al.2023Könen & Karbach2021); applied demonstrations of moderation in bivariate LCS models exist but are rare (see McArdle & Grimm2010). However, despite the lack of methodological guidance, several applied studies have included time-invariant binary moderators in LCS models (Gradinger, Yanagida, Strohmeier, & Spiel2015Griffiths, Kievit, & Norbury2022Zaccoletti et al.2020). Given the obvious interest in applications of group differences in change in the LCS framework, it is natural to extend the framework to examine group differences in change with respect to mediation paths.

In this paper, we present two models that illustrate different ways to specify CIEs for first stage moderated mediation in the LCS framework. We begin by defining a general LCSMM model with a time-invariant binary moderator. From this general model, we then combine the information regarding CIEs and LCSs that is provided in the introduction to demonstrate multiple ways to specify CIEs in LCSMM models. All computer code and supplementary material for this tutorial can be found on GitHub at https://github.com/horourke/CIE_LCS.

2 Example Model Setup

To demonstrate the different specifications of CIEs in LCSMM models, we begin with a keystone LCS model. In this model, \(X_1\) (X at \(t = 1\)) is a continuous variable that is measured at a single timepoint and is assumed to occur first temporally in the model. M and Y are continuous variables that are measured repeatedly at five timepoints, each with a univariate dual change structure. The \(a\) path for mediation is specified such that X predicts the additive component of M. This is a more parsimonious way of specifying \(a\), in contrast to a model where X has multiple constrained paths predicting latent change in M (Hilley & O’Rourke2022). The mediation \(b\) path is specified by a coupling relation from M to Y, where prior latent level of M influences later latent change in Y. Coupling paths are lagged such that latent levels of M at \(t – 1\) predict later latent change in Y (between \(t – 1\) and \(t\)) to meet the mediation assumption of temporal precedence. A measurement schedule that begins at the timepoint directly after measurement of X is assumed for both M and Y. X also predicts the additive component of Y (akin to a mediation \(c’\) direct effect). The moderator Z is a binary variable that is time-invariant (i.e., the onset of the group difference is assumed to occur before the measurement of all other variables in the model and to persist without change for the duration of the study). The moderator in the keystone model influences the \(a\) path such that there are group differences across Z in the influence of X on the additive component of M (i.e., a first stage moderated mediation model).

This paper demonstrates estimating CIEs when the moderator Z and the product of X and Z are included as time-invariant covariates. The time-invariant covariate method uses an extension of the moderator equations described in the introduction and incorporates the moderator directly into the statistical model. In this approach, an interaction term is estimated as a parameter relating the product of X and Z to the additive component of M (i.e., the interaction is first stage moderated mediation) and is included in the equation of each indirect effect. Values of Z are substituted into the resultant equation to calculate CIEs at each value of Z. We provide code in Mplus and R to estimate these models and calculate the resultant CIEs at values of binary Z.

These models may also be estimated using an equivalent multiple group approach. The multiple group approach was developed to investigate group differences in change (McArdle & Hamagami1996) and was originally utilized as a way of examining group differences for factor structures (Jöreskog1971). With this approach, an invariance method is used where each parameter in the model is explicitly specified to be either constrained to be equal across groups or to vary across groups. This approach allows researchers to examine group differences in any parameter of the model while defaulting to constraining all other parameters that are not explicitly freed to vary across groups. When a moderator is binary and time-invariant, the multiple group approach to fitting a LCSMM model produces two sets of model estimates, one for each group on the moderator. The \(a\) and \(b\) paths can be freely estimated across groups, with two CIEs calculated individually as \(a^{(Z=0)}b\) and \(a^{(Z=1)}b\) using the MODEL CONSTRAINT command in Mplus. A Wald \(\chi ^2\) test can then used to assess whether the two CIEs significantly differ from one another, which would indicate that the \(a\) path of X to M (and therefore the entire indirect effect \(ab\)) was moderated by Z. Although not discussed in detail in this article, code for this approach is also provided on our GitHub.

Given that most models in methodological work on LCS models present constrained coupling paths, it is correspondingly rare to find applications where LCS models are fit with freely estimated coupling paths in empirical studies. However, varying the typical constraints on coupling may be necessary for certain research questions about change, and doing so has implications for how CIEs are calculated in LCSMM models (as we will see in the examples). The traditional use of a coupling path that is constrained across time resulting in a single estimate would result in only one CIE per value of the moderator. However, specifying a LCSMM model with coupling paths that are freely estimated across time results in multiple estimates of \(b\), and thus requires that for each value of the moderator we calculate multiple CIEs (one per estimate of \(b\)). Therefore, we present two examples in this paper: one example with the most common specification where \(b\) is a coupling parameter constrained to be equal across time, and one example where there are multiple \(b\) paths that are coupling parameters freely estimated at each wave.

2.1 Data Generation and Analysis

For each example, an illustrative data set was simulated in R (R Core Team2020) using the keystone model as a baseline and varying constraints on the \(b\) path. Parameter values were selected to produce data trajectories typically seen in longitudinal behavioral research, and were varied such that the \(a\) paths were equal in magnitude but had opposing signs across groups on Z. When data were simulated with a \(b\) path that varied across time, the \(b\) path magnitude decreased at each successive wave. Our rationale for using this pattern of variation for the magnitudes comes from the mediation literature (O’Rourke & MacKinnon20152018), where Y outcomes that are more distal (i.e., farther away in time of measurement) typically have weaker relations to the mediator than outcomes that are more proximal (i.e., closer in time of measurement). Correlations among latent initial score and additive change component means were fixed to .5 (large) based on correlations commonly observed in applications of LCS models (Grimm2007). Population parameters used to simulate the data are shown in Table 1. In both of the following examples, estimates from the models that were fit to the simulated data were generally unbiased.

Table 1: Parameter Population Values for Simulated Examples
Constrained
   
Freely Estimated
   
Parameter Example 1 Example 2
\(\mu _X\) 0 0
\(\sigma ^2_X\) 1 1
Univariate M
\(\mu _{m0}\) 6 6
\(\mu _{ma}\) 0.9 0.9
\(\beta _m\) -0.05 -0.05
\(\sigma ^2_{m0}\) 0.49 0.49
\(\sigma ^2_{ma}\) 0.01 0.01
\(\sigma ^2_{e(m)}\) 0.025 0.025
Univariate Y
\(\mu _{y0}\) 7 7
\(\mu _{ya}\) -0.5 -0.5
\(\beta _y\) 0.1 0.1
\(\sigma ^2_{y0}\) 0.36 0.36
\(\sigma ^2_{ya}\) 0.04 0.04
\(\sigma ^2_{e(y)}\) 0.101 0.101
Mediation/Moderation
\(a_{X_1}\) -0.4 -0.4
\(a_Z\) 0 0
\(a_{{X_1}Z}\) 0.8 0.8
\(b\) -0.13 -
\(b_3\) - -0.23
\(b_4\) - -0.18
\(b_5\) - -0.13
\(b_6\) - -0.08
\(c'\) 0.1 0.1

After data simulation, models were then fit to the data using Mplus (Muthén & Muthén2017) and the lavaan package in R (R Core Team2020Rosseel2012). Data generation code (R), analytic code (Mplus and R), and simulated datasets for each example can be found on GitHub.

2.2 Power Analyses

For the datasets in each example, a sample size of 520 (n = 260 per moderator group) was chosen based on recent simulation work recommending minimum sample sizes for mediation with LCSs (Simone & Lockhart2019). Although in the traditional regression framework, including moderators often results in lower power to detect effects, the sample sizes provided in Simone and Lockhart (2019) allowed for detection of significant indirect effects at magnitudes that would reasonably be seen in empirical research. Beyond this simulation study, there is little empirical work on sample size and power for mediation in the LCS framework. For readers interested in conducting power analyses for the models described in this paper, we have provided the code for a user-friendly method to conduct power analyses for both models described below. Because LCS models in general have complex model specifications that require several parameters to be fixed to 0 or 1, Monte Carlo simulations are not straightforward in many existing R packages; instead, we are using a 2-step process to conducting power in Mplus (Muthén & Muthén2017).

First, we conducted the LCSMM analyses described in this paper and used the SAVEDATA: ESTIMATES = function in Mplus to save the parameter estimates as a data file to be used as population parameters in the next step. This first step requires the use of a “real” data file; we used the data we simulated in R in this step. Additionally, MODEL CONSTRAINT statements to compute the CIEs are not included in the code for the first step, as they are not relevant for generating the data file containing population parameters. In the second step, we conducted a power analysis using the Monte Carlo procedure in Mplus. Unlike typical Mplus Monte Carlo power analyses in which the population parameters are set in the MODEL POPULATION statement, the population values come from the data file saved in the first step. In the second step, a MODEL CONSTRAINT statement was used to compute the CIEs. Using this process, power was examined for all estimates in the LCSMM models, including the CIEs.

3 Example 1: Constrained Dynamic Paths

In example 1, we demonstrate how to specify and estimate CIEs for a LCSMM model with constrained coupling for the b path1 .

PIC

Figure 1: LCSMM Model with Constrained Coupling for b

The following equations express this LCSMM model and correspond to the path diagram in Figure 1.

\begin {equation} \Delta lm_{ti} = m_{ai} + \beta _m lm_{t-1i} \label {eq13} \end {equation}

\begin {equation} m_{ai} = a_{X_1}X_1 + a_ZZ + a_{X_{1}Z}X_1Z \label {eq14} \end {equation}

\begin {equation} \Delta ly_{ti} = y_{ai} + \beta _yly_{t-1i} + blm_{t-1i} \label {eq15} \end {equation}

\begin {equation} y_{ai} = c'X_1 \label {eq16} \end {equation}

In Equation 14, the mediation \(a\) path is distinguished from the other parameters in the equation with a subscript, \(a_{X_1}\), to denote that it is the path relating \(X_1\) to the additive component of M. An interaction is formed by taking the product of \(X_1\) and Z, and this product is included in the equation as a third predictor of the additive component of M by way of the parameter \(a_{{X_1Z}}\) (the interaction term). The main effect of Z predicting M is also included, as represented by the parameter \(a_Z\).

The CIEs are estimated using the following equation.

\begin {equation} ab_{CIE} = (a_{X_1}b)+(a_{X_1Z}b)Z \label {eq17} \end {equation}

This equation is quite similar to the CIEs introduced in Equation 8 from a regression framework, although in this example \(b\) is a longitudinally constrained coupling parameter rather than a linear regression path. To calculate CIEs from model estimates, Equation 17 is programmed directly into the analysis script in Mplus and R using MODEL CONSTRAINT statements. We use Wald tests of significance (Wald1943) to assess the difference in the CIEs, therefore providing evidence of significant, stage one moderated mediation. The Wald test null hypothesis was specified as

\begin {equation} a^{(Z=0)}b - a^{(Z=1)}b = 0 \label {eq18} \end {equation}

Bootstrapping was also conducted to generate bootstrapped confidence intervals of the respective CIEs and to determine their significance in terms of inclusion of 01 1  The MODEL TEST command in Mplus cannot be used in conjunction with bootstrapping, so if bootstrapped confidence intervals of the CIEs are desired, the Wald test needs to be conducted in a separate Mplus script. .

3.1 Conditional Indirect Effect Interpretations

Table 2 contains results from the simulated example for which we provide interpretation of the relevant estimates used in calculating CIEs. The mediation \(a\) path was negative and significant (\(a_{X_1}=-0.373\)), indicating that for a one-unit increase in \(X_1\), the additive component of M decreased by .373 units. The coupling \(b\) path was also negative and significant (\(b = -0.146\)), indicating that higher values of M were a leading predictor of lower values on Y. Using the joint significance test, significance of the \(a\) and \(b\) paths resulted in a conclusion that overall mediation was present (without consideration of the moderator), such that higher values of X predicted a more negative additive component of M and higher prior values of M predicted smaller changes in Y at each subsequent wave.

Table 2: Unstandardized Estimates from LCSMM Model, Constrained Coupling
Parameter      Estimate \((SE)\)    Lower 95% CI   Upper 95% CI
Univariate M
\(\mu _{m0}\) 6.017 (0.04)*** 5.937 6.097
\(\mu _{ma}\) 0.833 (0.037)*** 0.761 0.904
\(\beta _m\) -0.039 (0.005)*** -0.050 -0.029
\(\sigma ^2_{m0}\) 0.466 (0.031)*** 0.404 0.527
\(\sigma ^2_{ma}\) 0.009 (0.001)*** 0.008 0.011
\(\sigma ^2_{e(m)}\) 0.025 (0.001)*** 0.023 0.027
Univariate Y
\(\mu _{y0}\) 6.964 (0.046)*** 6.874 7.055
\(\mu _{ya}\) -0.346 (0.175)* -0.683 0.002
\(\beta _y\) 0.094 (0.015)*** 0.065 0.123
\(\sigma ^2_{y0}\) 0.401 (0.028)*** 0.344 0.455
\(\sigma ^2_{ya}\) 0.045 (0.007)*** 0.033 0.059
\(\sigma ^2_{e(y)}\) 0.105 (0.004)*** 0.097 0.112
Mediation/Moderation
\(c'\) 0.115 (0.012)*** 0.092 0.138
\(a_{X_1}\) -0.373 (0.008)*** -0.389 -0.357
\(a_Z\) -0.006 (0.008) -0.022 0.011
\(a_{{X_1}Z}\) 0.768 (0.011)*** 0.748 0.789
\(b\) -0.146 (0.015)*** -0.175 -0.117
\(a^{Z=0}b\) 0.054 (0.005)*** 0.044 0.065
\(a^{Z=1}b\) -0.057 (0.006)*** -0.069 -0.047
*\(p < .05\), **\(p < .01\), ***\(p < .001\).

\begin {equation} ab_{CIE} = (-0.373*-0.146)+(0.768*-0.146)Z \label {eq19} = -.054-0.112Z \end {equation} The equation above resulted in CIE estimates of \(a^{(Z=0)}b = 0.054\) and \(a^{(Z=1)}b = -0.057\). Bootstrapped confidence intervals of the CIE estimates did not include zero, indicating that mediation was present at both values of the moderator.

The Wald test of equality supported results with respect to significance of the moderation estimate, \((\chi ^2(1,N = 520) = 106.830, p < .001)\), providing evidence that moderation of the \(a\) path across values of Z resulted in significant group differences in the CIEs. Considering all results from this model, we can conclude that mediation was significant for both groups, and that the impact of X on the additive component of M differed between the groups, resulting in mediation CIEs that were both significant but with opposite signs (and significantly different from one another). Additionally, the power analyses described previously demonstrated power approaching 1 for both CIEs.

4 Example 2: Freely Estimated Dynamic Paths

In our second example, the \(b\) coupling paths were freely estimated across time. The path model for this example is shown in Figure 2. The equation predicting the LCSs for Y demonstrates how the model in this example differs from the model in example 1:

\begin {equation} \Delta ly_{ti} = y_{ai} + \beta _yly_{t-1i} + b_tlm_{t-1i} \label {eq20} \end {equation}

In this equation, the \(b\) path is now time-dependent as denoted by the subscript \(t\) such that coupling is freely estimated across timepoints. The estimation of multiple \(b\) paths necessitated the calculation of multiple CIEs for a given value of Z, as there were four LCSs and thus four corresponding \(b\) paths. With two values of Z, eight CIEs were calculated, four each for \(a^{Z=0}b_t\) and \(a^{Z=1}b_t\). Four equalities of CIEs were specified in the Wald Test such that the CIEs were equal with time held constant, resulting in the following null hypothesis for the Wald test.

\begin {equation} a^{(Z=0)}b_t - a^{(Z=1)}b_t = 0 \label {eq21} \end {equation}

Although four equalities were specified for the Wald test (one for each timepoint), only one \(\chi ^2\) estimate was provided for all of the tests. Therefore, in this example the Wald test provided information on whether at least one of the sets of CIEs differed between groups, considering all timepoints. Bootstrapping was also conducted to produce confidence intervals of the individual estimates as well as the eight CIEs.

PIC

Figure 2: LCSMM Model with Freely Estimated Coupling for b

4.1 Conditional Indirect Effect Interpretations

Table 3 shows model results from this example’s estimation. As with example 1, the mediation \(a\) path was negative and significant (\(a_{X_1}=-0.396\)) such that a one-unit increase in \(X_1\) resulted in a 0.396-unit decrease in the additive component of M. All \(b\) path estimates were negative and significant (\(b_3 = -0.230\), \(b_4 = -0.174\), \(b_5 = -0.127\), and \(b_6 = -0.072\)) where with each subsequent wave, the magnitude of \(b\) weakened. As indicated by the trend toward zero in the \(b\) paths, higher prior levels of M were associated with smaller subsequent changes in Y, however this relation weakened over the course of the study. Both the\( a\) path and all freely estimated \(b\) paths were statistically significant, supporting evidence that mediation was present across all waves in accordance with the joint significance test. The conclusions from these results can be interpreted such that higher values of X predicted lower values of M over time, and subsequently higher prior values of M predicted smaller changes in Y, with the prediction of M on change in Y weakening over time.

Table 3: Unstandardized Estimates from LCSMM Model, Freely Estimated Coupling
Parameter      Estimate \((SE)\)    Lower 95% CI   Upper 95% CI
Univariate M
\(\mu _{m0}\) 5.966 (0.04)*** 5.886 6.044
\(\mu _{ma}\) 0.905 (0.037)*** 0.831 0.977
\(\beta _m\) -0.051 (0.005)*** -0.061 -0.041
\(\sigma ^2_{m0}\) 0.465 (0.03)*** 0.404 0.522
\(\sigma ^2_{ma}\) 0.009 (0.001)*** 0.007 0.011
\(\sigma ^2_{e(m)}\) 0.024 (0.001)*** 0.022 0.026
Univariate Y
\(\mu _{y0}\) 6.95 (0.042)*** 6.869 7.032
\(\mu _{ya}\) -0.614 (0.201)** -1.019 -0.231
\(\beta _y\) 0.116 (0.035)** 0.051 0.187
\(\sigma ^2_{y0}\) 0.381 (0.027)*** 0.326 0.432
\(\sigma ^2_{ya}\) 0.034 (0.007)*** 0.022 0.05
\(\sigma ^2_{e(y)}\) 0.101 (0.004)*** 0.094 0.108
Mediation/Moderation
\(c'\) 0.105 (0.011)*** 0.085 0.127
\(a_{X_1}\) -0.396 (0.007)*** -0.41 -0.382
\(a_Z\) 0.004 (0.009) -0.013 0.022
\(a_{{X_1}Z}\) 0.799 (0.011)*** 0.777 0.82
\(b_3\) -0.23 (0.019)*** -0.267 -0.192
\(b_4\) -0.174 (0.015)*** -0.204 -0.145
\(b_5\) -0.127 (0.013)*** -0.154 -0.101
\(b_6\) -0.072 (0.014)*** -0.1 -0.046
\(a^{Z=0}b_3\) 0.091 (0.007)*** 0.076 0.106
\(a^{Z=0}b_4\) 0.069 (0.006)*** 0.058 0.08
\(a^{Z=0}b_5\) 0.05 (0.005)*** 0.04 0.061
\(a^{Z=0}b_6\) 0.029 (0.005)*** 0.018 0.039
\(a^{Z=1}b_3\) -0.093 (0.008)*** -0.107 -0.078
\(a^{Z=1}b_4\) -0.07 (0.006)*** -0.082 -0.059
\(a^{Z=1}b_5\) -0.051 (0.005)*** -0.062 -0.041
\(a^{Z=1}b_6\) -0.029 (0.005)*** -0.04 -0.019
*\(p < .05\), **\(p < .01\), ***\(p < .001\).

The interaction term representing the product of X and Z predicting the additive component of M was positive and significant (\(a_{{X_1}_Z}= 0.799\)), indicating that there were significant group differences on Z in the prediction of X on the additive component of M. The influence of Z on the additive component of M (main effect) was not significant. The CIEs were estimated by utilizing the model estimates in the following equations: \begin {equation} ab_{CIE_3} = (-0.396*-0.230)+(0.799*-0.230)Z \label {eq22} \end {equation} \begin {equation} ab_{CIE_4} = (-0.396*-0.174)+(0.799*-0.174)Z \label {eq23} \end {equation} \begin {equation} ab_{CIE_5} = (-0.396*-0.127)+(0.799*-0.127)Z \label {eq24} \end {equation} \begin {equation} ab_{CIE_6} = (-0.396*-0.072)+(0.799*-0.072)Z \label {eq25} \end {equation}

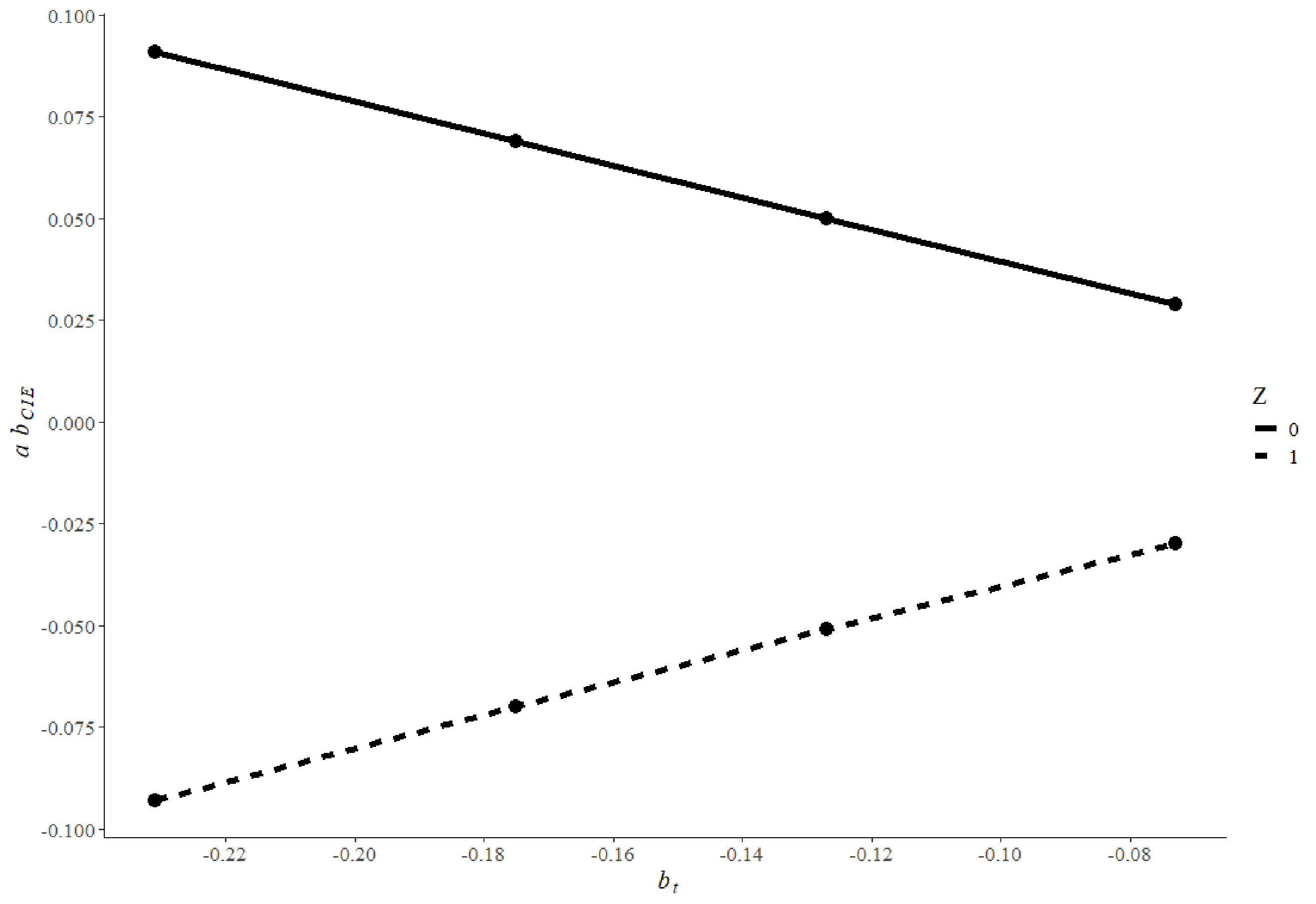
Bootstrapped confidence intervals for the CIEs indicated that mediation was significant at all timepoints for both values of the moderator, as each of the eight confidence intervals did not include zero. With respect to group differences of the CIEs, the Wald test was significant, \(\chi ^2 (4,N = 520) = 200.045, p < .001\), indicating that at least one of the sets of CIEs at a given timepoint differed between groups on the moderator. Additionally, Z moderated the influence of X on M such that the \(a_{X_1}\) path varied across values of Z which resulted in intergroup CIEs of opposing signs, with at least one timepoint having statistically significant group differences in indirect effects. As the Wald test does not give us specific information on which of the pairs of CIEs differed significantly at each time point, plotting the CIEs is a useful way to interpret the moderated mediation effect from the LCSMM model. Figure 3 contains a plot of the CIEs across values of \(b\) at each timepoint grouped at each value of Z for example 2.

PIC

Figure 3: Comparison of CIEs Across Groups for LCSMM Model with Freely Estimated Coupling for b

This plot shows that as the estimate of \(b\) decreased over time, the difference in the CIEs between values of Z also decreased such that at the final time point the CIEs had the smallest difference. Code for reproducing this plot in R can be found on GitHub. Additionally, power analyses demonstrated that power approached 1 for all eight estimates of the CIEs.

5 Discussion

In this paper, we demonstrated an approach for specifying CIEs in LCSMM models which can be used to address research questions about group differences in mediation models of dynamic change over time. We illustrated two specifications of LCSMM models to show how binary group differences in indirect effects can be examined within the LCS framework using a time invariant covariate approach with a binary moderator when the mediation \(b\) paths are either freely estimated or constrained to be equal across time. As the LCS framework continues to grow in popularity among applied researchers, the models described in this paper will be useful for refining theories of behavior change, particularly with respect to group differences in mechanisms of change.

5.1 Mediation Considerations

The models presented in this paper conceptualize the mediation paths as those that predict additive components (in the case of the \(a\) path) and as coupling parameters (in the case of the \(b\) and \(c’\) paths), all of which involve a type of change as the outcome. Although these specifications are in line with prior work on LCS models with mediators (Hilley & O’Rourke2022), the mediation paths could be specified differently with respect to change (e.g., \(a\) as the influence of X on latent levels of M; \(b\) as the influence of prior latent levels of M on later latent levels of Y; \(b\) as the influence of prior latent change in M on later latent change in Y; etc.). Additionally, by specifying the \(a\) path as \(X \rightarrow M_a\), the models we have presented are also more parsimonious than other options, like \(X \rightarrow \Delta _{mt}\). The alternative specification may be more appropriate for certain research scenarios, such as if the research question hypothesized that X would predict change in M differentially over time (i.e., when the influence of X on change in M differs over time).

Additionally, for each example the X variable was assumed to be a continuous normally distributed variable. Quite often, researchers conducting studies with hypothesized mediators measure X as a categorical randomized variable in an attempt to address the no unmeasured confounders assumption of mediation for the \(a\) path. The models presented here could easily be extended to include interaction terms between categorical X and Z; for example, if X and Z are binary, the product XZ could be coded as a 4-category variable. Goldsmith et al. (2018) describe a modified LCS mediation model with a randomized, 4-group variable for X (although CIEs were not specified for these models).

Causality Considerations

As described in the introduction, the causality assumptions inherent to mediation are what separate mediation from other types of three-variable models, and this is true for mediation in any framework. We now address several considerations that are specific to causality for mediation in the LCS framework.

Temporal Precedence. The LCS framework provides both opportunities and challenges for examining mediators. To begin with the benefits, mediation in LCS models can allow researchers to examine effects that are known to be lagged and therefore temporal precedence is known to be met (e.g., \(X_1 \rightarrow \Delta _{m_2-m_3} \rightarrow \Delta _{y_3-y_4}\)), or a corresponding coupling specification). This is an advantage over mediation models with cross-sectional data where X, M, and Y are all measured at the same time (e.g., \(X_1 \rightarrow M_1 \rightarrow Y_1\)). However, researchers must be deliberate in how they specify their indirect effects to match theories of change, as specifying change-change paths for mediation can result in measurements of contemporaneous change (e.g., \(\Delta _{m_2-m_3} \rightarrow \Delta _{y_2-y_3}\)) that do not satisfy the temporal precedence assumption. Circumstances do exist where it is appropriate to specify contemporaneous change paths, such as if variables are measured at the same timepoint but prior research indicates an underlying causal process that occurs at a faster rate than the measurement timeline can capture (Goldsmith et al.2018Hilley & O’Rourke2022). The theory of change should always be considered when determining the specification of change for longitudinal mediation models.

Potential Confounders of Mediation. The assumption of no potential confounding influences with respect to establishing causality in mediation is often both the most problematic in terms of influencing model results when the assumption is violated, and the most difficult to address. When X is not randomized (and as we have mentioned previously, M is very often not randomized), bias is introduced into the estimates of each of the mediation paths where M and Y are being influenced by unmeasured confounders. Some longitudinal mediation frameworks (including the LCS framework) can partially address the issue of unmeasured confounders influencing M and Y by including correlated measurement errors between M and Y across timepoints, and the current recommendation is to use contemporaneous residual covariances among M and Y at each measurement of \(t\) (Goldsmith et al.2018). Although they are not shown in our path diagrams, we have utilized this method to address potential confounding in our examples; all of the LCSMM models presented here include correlations between residuals for M and Y at each timepoint. This method addresses the assumption of no unmeasured confounders for the \(b\) path, but unless X is randomized, the assumption is not met for the \(a\) path. When X is a cross-sectional observed variable in a LCSMM model, it is recommended to use methods for dealing with potential confounders that were developed for mediation models in the linear regression framework (Hilley & O’Rourke2022MacKinnon & Pirlott2015).

5.2 Moderation Considerations

We now turn to some considerations for the moderation portion of the LCSMM model and calculations of the CIEs. In LCS models, coupling represents the extent to which prior levels of one variable influence later change in another. Thus, with the specification utilized in this paper, the mediation \(b\) path is represented by coupling between M and Y. In both examples, the moderator was a binary, time-invariant variable influencing the mediation \(a\) path. However, as described below, the LCSMM models presented in this paper can be extended to capture moderation of the \(b\) path or moderators that are time-varying or continuous, although additional methodological research is needed in these areas.

Continuous vs. Binary Moderators

In this paper we demonstrated approaches for calculating CIEs in LCSMM models using only binary, time-invariant moderators. It is important to note that if the moderator was continuous and time-invariant, the covariate and multiple group approaches to estimation would not give equivalent CIEs due to the adjustments that would have to be made to the calculations for each approach. In the multiple group approach, prior to estimation synthetic categorical groups would have to be created by categorizing the continuous Z variable. Assuming Z is normally distributed, this would typically be done by using a “high/medium/low” binning schema separating the data into thirds and then running a multiple group analysis for the binned groups. However, this approach is not recommended in practice due to the loss of variability stemming from binning a continuous variable (Altman & Royston2006).

In contrast, for the time-invariant covariate approach, the product XZ could be computed and included in analysis in the same manner as it was in the examples presented here. Researchers would then choose “high/medium/low” values of Z for which to calculate CIEs (typically \(-1SD/M/+1SD\) when Z is normally distributed). The time-invariant approach thus would retain all of the original variability from the continuous moderator by including it in the model as a product with X. By contrast, the multiple group approach estimates would come from “groups” that are in reality just separated groups of the same sample. Thus, calculating CIEs from mediation estimates using the multiple group approach would result in different CIE estimates as compared to using the covariate approach. This difference in estimates would be even more pronounced if the continuous time-invariant moderator was not perfectly normally distributed.

XM Interactions in LCSMM Models

In the introduction of this paper we described two types of interactions involving mediation, first and second stage moderated mediation. Each of these types of moderation involves interaction with the predictor X and a moderator Z, and our examples throughout the paper used only first stage moderated mediation models. However, a single mediator model can be extended to include interactions between X and the mediator M, with no additional auxiliary variables in the model (i.e., XM interactions). The models we described here could be extended to include XM interactions as well. Methods have recently been developed for estimating XM interactions with latent variables using a causal (rather than traditional regression) framework (Gonzalez & Valente2023), but the causal effects can easily be converted to traditional CIEs for XM interactions (MacKinnon, Valente, & Gonzalez2020).

5.3 Constraint Considerations

Next, we describe a more conceptual consideration, which is how to choose whether to constrain vs. freely estimate the \(b\) path (or other dynamic change paths) in LCSMM models. The choice should ultimately depend on the researcher’s hypotheses about change over time. Given a single research question, it may sometimes make sense to either constrain or freely estimate dynamic change paths based on the given timeline of a research study. As an example, suppose we have a developmental theory where we expect to observe coupling between social preference and antisocial behavior in adolescence such that social preference is a negative leading predictor of adolescent antisocial behavior (Buil, Van Lier, Brendgen, Koot, & Vitaro2017). A study that occurs over a one-year period during adolescence might hypothesize that coupling between social preference and antisocial behavior is consistent over multiple measurements in that relatively short study period, and thus constraining the coupling parameter to be equal across timepoints will both result in best model fit and be consistent with the theory. However, if the same study were conducted over a longer period starting in early adolescence and across the transition to adulthood (when salience of social preference theoretically increases), the best representation of the developmental theory would be to freely estimate the coupling paths such that they are allowed to strengthen over time.

Although the selection of framework for longitudinal data analysis should be driven by the research question at hand, the examples provided in this paper highlight some of the benefits and challenges of each type of model. For example, when the coupling paths are freely estimated, researchers will obtain CIEs for each of the estimated paths and each group of the moderator (e.g., in our examples where two levels of the moderator and four coupling paths from M to Y resulted in eight CIE estimates). When these coupling paths do truly differ over time, models that constrain them to be equal would be misspecified. However, interpretation of the CIEs may be more cumbersome for models with additional CIE estimates. The multiple group approach to estimation may present similar challenges (i.e., difficulty interpreting estimates if the dynamic change paths are freely varied across groups with many groups and many time points), but they also allow further freeing of constraints that may be appropriate in a given research scenario but that are not presented here (e.g., differences in initial level or additive components).

5.4 Limitations and Future Directions

There are several important limitations to consider regarding our work on the LCSMM models presented here. First, there has been limited methodological research regarding LCS models with mediators and even less research regarding LCSMM models specifically. Additionally, methodological research on LCS models is also extremely limited in its consideration of studies with imperfect data or methods (i.e., missingness, attrition, model misspecification, etc.) that are likely to occur in real world research, and the discussions around these topics are mainly limited to univariate LCS models. There is also a lack of established effect sizes for comparing CIEs with respect to both intra-study magnitude (i.e., comparing CIEs within a given study) and comparisons of CIEs across studies for mediation models in the LCS framework; it is unknown whether established effect sizes for mediation in the regression framework (Miočević, O’Rourke, MacKinnon, & Brown2018) translate to the LCS framework as well.

In terms of future research directions, an important future direction will involve consideration of moderators with various measurements in LCSMM models: Continuous moderators, time-varying moderators, and moderators of mediation paths when X, M, and Y are all longitudinal and therefore each has univariate dual change structures. The same consideration of calculation of CIEs should be given to these different specifications of LCSMM models. Furthermore, future methodological research should give consideration to how model misspecification impacts statistical power and bias in estimates of CIEs when the theory of change for the \(b\) path is misspecified (constrained vs. freely estimated) and when the assumptions of mediation are not met.

5.5 Conclusion

There are many model specification choices to be made that influence the estimation and interpretation of results from models fit within the LCS framework. Some choices are universal to multivariate LCS models, and other choices are specific to inclusion of moderators and mediators into LCS models. Some of the general choices that influence model estimation and interpretation are: measurement of variables (all variables measured longitudinally, or one cross-sectional predictor predicting a longitudinal outcome); specification of longitudinal bivariate relations (coupling, prior level predicting later level, or prior change predicting later change); and both univariate and bivariate dynamic change parameter constraints (proportional change and/or coupling specified to be equal across time, or parameters freely estimated across time). The estimation and subsequent calculation and interpretation of CIEs in LCSMM models varies depending on each of the individual choices made during model specification. Often many of these choices are pre-determined for us with respect to the structure of our data, but several of the choices depend on either the theories about change underlying a research question or the technical propriety of a particular option.

The present paper provides examples that demonstrate obtaining these CIEs in LCSMM models under two different conditions for coupling from M to Y. We also highlight some important considerations related to different components of estimation of CIEs when both moderators and mediators are present in a LCS model. LCSMM models provide researchers with the opportunity to examine more refined theories of mechanisms of change over time, particularly when that change is dynamic and when there are group differences in mechanisms of dynamic change.

References

   Altman, D. G., & Royston, P. (2006). The cost of dichotomising continuous variables. BMJ, 332(7549), 1080.1. doi: https://doi.org/10.1136/bmj.332.7549.1080

   Alwin, D. F., & Hauser, R. M. (1975). The decomposition of effects in path analysis. American Sociological Review, 40(1), 37. doi: https://doi.org/10.2307/2094445

   Baltagi, B. H. (2021). Econometric Analysis of Panel Data. Cham: Springer International Publishing. doi: https://doi.org/10.1007/978-3-030-53953-5

   Baron, R. M., & Kenny, D. A. (1986). The moderator–mediator variable distinction in social psychological research: Conceptual, strategic, and statistical considerations. Journal of Personality and Social Psychology, 51(6), 1173–1182. doi: https://doi.org/10.1037/0022-3514.51.6.1173

   Buil, J. M., Van Lier, P. A. C., Brendgen, M. R., Koot, H. M., & Vitaro, F.  (2017). Developmental pathways linking childhood temperament with antisocial behavior and substance use in adolescence: Explanatory mechanisms in the peer environment. Journal of Personality and Social Psychology, 112(6), 948–966. doi: https://doi.org/10.1037/pspp0000132

   Cheung, G. W., Cooper-Thomas, H. D., Lau, R. S., & Wang, L. C. (2021). Testing moderation in business and psychological studies with latent moderated structural equations. Journal of Business and Psychology, 36(6), 1009–1033. doi: https://doi.org/10.1007/s10869-020-09717-0

   Cronbach, L. J., & Furby, L. (1970). How we should measure “change”: Or should we? Psychological Bulletin, 74(1), 68–80. doi: https://doi.org/10.1037/h0029382

   Cáncer, P. F., & Estrada, E. (2023). Effectiveness of the deterministic and stochastic bivariate latent change score models for longitudinal research. Structural Equation Modeling: A Multidisciplinary Journal, 30(4), 618–632. doi: https://doi.org/10.1080/10705511.2022.2161906

   Cáncer, P. F., Estrada, E., & Ferrer, E. (2023). A dynamic approach to control for cohort differences in maturation speed using accelerated longitudinal designs. Structural Equation Modeling: A Multidisciplinary Journal, 30, 761–777. doi: https://doi.org/10.1080/10705511.2022.2163647

   Cáncer, P. F., Estrada, E., Ollero, M. J. F., & Ferrer, E. (2021). Dynamical properties and conceptual interpretation of latent change score models. Frontiers in Psychology, 12, 696419. doi: https://doi.org/10.3389/fpsyg.2021.696419

   Estrada, E., Bunge, S. A., & Ferrer, E. (2023). Controlling for cohort effects in accelerated longitudinal designs using continuous- and discrete-time dynamic models. Psychological Methods, 28(2), 359–378. doi: https://doi.org/10.1037/met0000427

   Goldsmith, K. A., MacKinnon, D. P., Chalder, T., White, P. D., Sharpe, M., & Pickles, A. (2018). Tutorial: The practical application of longitudinal structural equation mediation models in clinical trials. Psychological Methods, 23(2), 191–207. doi: https://doi.org/10.1037/met0000154

   Gonzalez, O., & Valente, M. J. (2023). Accommodating a latent XM interaction in statistical mediation analysis. Multivariate Behavioral Research, 58(4), 659–674. doi: https://doi.org/10.1080/00273171.2022.2119928

   Gradinger, P., Yanagida, T., Strohmeier, D., & Spiel, C. (2015). Prevention of cyberbullying and cyber victimization: Evaluation of the ViSC social competence program. Journal of School Violence, 14(1), 87–110. doi: https://doi.org/10.1080/15388220.2014.963231

   Griffiths, S., Kievit, R. A., & Norbury, C. (2022). Mutualistic coupling of vocabulary and non-verbal reasoning in children with and without language disorder. Developmental Science, 25(3), e13208. doi: https://doi.org/10.1111/desc.13208

   Grimm, K. J. (2007). Multivariate longitudinal methods for studying developmental relationships between depression and academic achievement. International Journal of Behavioral Development, 31(4), 328–339. doi: https://doi.org/10.1177/0165025407077754

   Grimm, K. J., An, Y., McArdle, J. J., Zonderman, A. B., & Resnick, S. M. (2012). Recent changes leading to subsequent changes: Extensions of multivariate latent difference score models. Structural Equation Modeling: A Multidisciplinary Journal, 19(2), 268–292. doi: https://doi.org/10.1080/10705511.2012.659627

   Hamagami, F., & McArdle, J. J. (2001). Advanced studies of individual differences linear dynamic models for longitudinal data analysis. In G. A. Marcoulides & R. E. Schumacker (Eds.), New Developments and Techniques in Structural Equation Modeling (pp. 223–266). Psychology Press. doi: https://doi.org/10.4324/9781410601858-13

   Hayes, A. F. (2015). An index and test of linear moderated mediation. Multivariate Behavioral Research, 50(1), 1–22. doi: https://doi.org/10.1080/00273171.2014.962683

   Hayes, A. F. (2018). Partial, conditional, and moderated moderated mediation: Quantification, inference, and interpretation. Communication Monographs, 85(1), 4–40. doi: https://doi.org/10.1080/03637751.2017.1352100

   Hayes, A. F. (2022). Introduction to mediation, moderation, and conditional process analysis: A regression-based approach (3rd ed.). New York ; London: The Guilford Press.

   Hilley, C. D., & O’Rourke, H. P. (2022). Dynamic change meets mechanisms of change: Examining mediators in the latent change score framework. International Journal of Behavioral Development, 46(2), 125–141. doi: https://doi.org/10.1177/01650254211064352

   Hsiao, C. (2014). Analysis of panel data (3rd ed.). New York, NY: Cambridge University Press.

   Judd, C. M., & Kenny, D. A. (1981). Process analysis: Estimating mediation in treatment evaluations. Evaluation Review, 5(5), 602–619. doi: https://doi.org/10.1177/0193841X8100500502

   Jöreskog, K. G. (1971). Simultaneous factor analysis in several populations. Psychometrika, 36(4), 409–426. doi: https://doi.org/10.1007/BF02291366

   Könen, T., & Karbach, J. (2021). Individual differences in intervention-related changes. Advances in Methods and Practices in Psychological Science, 4(1), 251524592097917. doi: https://doi.org/10.1177/2515245920979172

   MacKinnon, D. P. (2008). Introduction to statistical mediation analysis. Routledge.

   MacKinnon, D. P., Fritz, M. S., Williams, J., & Lockwood, C. M. (2007). Distribution of the product confidence limits for the indirect effect: Program PRODCLIN. Behavior Research Methods, 39(3), 384–389. doi: https://doi.org/10.3758/BF03193007

   MacKinnon, D. P., Lockwood, C. M., Hoffman, J. M., West, S. G., & Sheets, V. (2002). A comparison of methods to test mediation and other intervening variable effects. Psychological Methods, 7(1), 83–104. doi: https://doi.org/10.1037/1082-989X.7.1.83

   MacKinnon, D. P., Lockwood, C. M., & Williams, J. (2004). Confidence limits for the indirect effect: Distribution of the product and resampling methods. Multivariate Behavioral Research, 39(1), 99–128. doi: https://doi.org/10.1207/s15327906mbr3901_4

   MacKinnon, D. P., & Pirlott, A. G. (2015). Statistical approaches for enhancing causal interpretation of the M to Y relation in mediation analysis. Personality and Social Psychology Review, 19(1), 30–43. doi: https://doi.org/10.1177/1088868314542878

   MacKinnon, D. P., Valente, M. J., & Gonzalez, O. (2020). The correspondence between causal and traditional mediation analysis: the link is the mediator by treatment interaction. Prevention Science, 21(2), 147–157. doi: https://doi.org/10.1007/s11121-019-01076-4

   McArdle, J. J. (2001). A latent difference score approach to longitudinal dynamic structural analysis. In Structural Equation Modeling: Present and Future. A Festschrift in Honor of Karl Joreskog (pp. 341–380). Lincolnwood, IL: Scientific Software International.

   McArdle, J. J. (2009). Latent variable modeling of differences and changes with longitudinal data. Annual Review of Psychology, 60(1), 577–605. doi: https://doi.org/10.1146/annurev.psych.60.110707.163612

   McArdle, J. J., & Grimm, K. J. (2010). Five steps in latent curve and latent change score modeling with longitudinal data. In K. Van Montfort, J. H. Oud, & A. Satorra (Eds.), Longitudinal Research with Latent Variables (pp. 245–273). Berlin, Heidelberg: Springer Berlin Heidelberg. doi: https://doi.org/10.1007/978-3-642-11760-2_8

   McArdle, J. J., & Hamagami, F. (1996). Multilevel models from a multiple group structural equation perspective. In Advanced structural equation modeling: Issues and techniques (pp. 89–124). Psychology Press.

   McArdle, J. J., & Prindle, J. J. (2008). A latent change score analysis of a randomized clinical trial in reasoning training. Psychology and Aging, 23(4), 702–719. doi: https://doi.org/10.1037/a0014349

   Miočević, M., O’Rourke, H. P., MacKinnon, D. P., & Brown, H. C. (2018). Statistical properties of four effect-size measures for mediation models. Behavior Research Methods, 50(1), 285–301. doi: https://doi.org/10.3758/s13428-017-0870-1

   Muthén, L. K., & Muthén, B. O. (2017). Mplus. Los Angeles, CA: Muthén & Muthén.

   O’Rourke, H. P., Fine, K. L., Grimm, K. J., & MacKinnon, D. P. (2022). The importance of time metric precision when implementing bivariate latent change score models. Multivariate Behavioral Research, 57(4), 561–580. doi: https://doi.org/10.1080/00273171.2021.1874261

   O’Rourke, H. P., & MacKinnon, D. P. (2015). When the test of mediation is more powerful than the test of the total effect. Behavior Research Methods, 47(2), 424–442. doi: https://doi.org/10.3758/s13428-014-0481-z

   O’Rourke, H. P., & MacKinnon, D. P. (2018). Reasons for testing mediation in the absence of an intervention effect: A research imperative in prevention and intervention research. Journal of Studies on Alcohol and Drugs, 79(2), 171–181. doi: https://doi.org/10.15288/jsad.2018.79.171

   Preacher, K. J., Rucker, D. D., & Hayes, A. F. (2007). Addressing moderated mediation hypotheses: Theory, methods, and prescriptions. Multivariate Behavioral Research, 42(1), 185–227. doi: https://doi.org/10.1080/00273170701341316

   R Core Team. (2020). R: A language and environment for statistical computing. R Foundation for Statistical Computing, Vienna, Austria.

   Raykov, T. (1999). Are simple change scores obsolete? an approach to studying correlates and predictors of change. Applied Psychological Measurement, 23(2), 120–126. doi: https://doi.org/10.1177/01466219922031248

   Rosseel, Y. (2012). lavaan : An R package for structural equation modeling. Journal of Statistical Software, 48(2). doi: https://doi.org/10.18637/jss.v048.i02

   Sardeshmukh, S. R., & Vandenberg, R. J. (2017). Integrating moderation and mediation: A structural equation modeling approach. Organizational Research Methods, 20(4), 721–745. doi: https://doi.org/10.1177/1094428115621609

   Selig, J. P., & Preacher, K. J. (2009). Mediation models for longitudinal data in developmental research. Research in Human Development, 6(2-3), 144–164. doi: https://doi.org/10.1080/15427600902911247

   Serang, S., Grimm, K. J., & Zhang, Z. (2019). On the correspondence between the latent growth curve and latent change score models. Structural Equation Modeling: A Multidisciplinary Journal, 26(4), 623–635. doi: https://doi.org/10.1080/10705511.2018.1533835

   Simone, M., & Lockhart, G. (2019). Empirical sample size guidelines for use of latent difference score mediation. Structural Equation Modeling: A Multidisciplinary Journal, 26(4), 636–645. doi: https://doi.org/10.1080/10705511.2018.1540934

   Sobel, M. E. (1982). Asymptotic confidence intervals for indirect effects in structural equation models. Sociological Methodology, 13, 290. doi: https://doi.org/10.2307/270723

   Usami, S., Hayes, T., & McArdle, J. J. (2016). Inferring longitudinal relationships between variables: Model selection between the latent change score and autoregressive cross-lagged factor models. Structural Equation Modeling: A Multidisciplinary Journal, 23(3), 331–342. doi: https://doi.org/10.1080/10705511.2015.1066680

   Valeri, L., & VanderWeele, T. J. (2013). Mediation analysis allowing for exposure–mediator interactions and causal interpretation: Theoretical assumptions and implementation with SAS and SPSS macros. Psychological Methods, 18(2), 137–150. doi: https://doi.org/10.1037/a0031034

   Wald, A. (1943). Tests of statistical hypotheses concerning several parameters when the number of observations is large. Transactions of the American Mathematical Society, 54(3), 426–482. doi: https://doi.org/10.1090/S0002-9947-1943-0012401-3

   Zaccoletti, S., Camacho, A., Correia, N., Aguiar, C., Mason, L., Alves, R. A., & Daniel, J. R. (2020). Parents’ perceptions of student academic motivation during the COVID-19 lockdown: A cross-country comparison. Frontiers in Psychology, 11, 592670. doi: https://doi.org/10.3389/fpsyg.2020.592670

   Zhu, S., Sagherian, K., Wang, Y., Nahm, E.-S., & Friedmann, E. (2021). Longitudinal moderated mediation analysis in parallel process latent growth curve modeling in intervention studies. Nursing Research, 70(3), 184–192. doi: https://doi.org/10.1097/NNR.0000000000000503